Lompat ke konten Lompat ke sidebar Lompat ke footer

Surat Lamaran Cpns Bnpb 2021 / Bnpb Format Lamaran Cpns Bnpb T A 2018 Pdf - Website resmi kabupaten cilacap badan kepegawaian daerah (bkd cilacap)

Membuat surat lamaran cpns bagi yang belum pernah memang sedikit susah. Seleksi cpns bnpt tahun anggaran 2021 kini resmi dibuka. Mempunyai keahlian/kompetensi yang diperlukan di bidang kebencanaan . Lowongan cpns bnpb lulusan sma smk d3 s1 semua jurusan terbaru oktober. Lowongan cpns bnpb terbaru 2021.

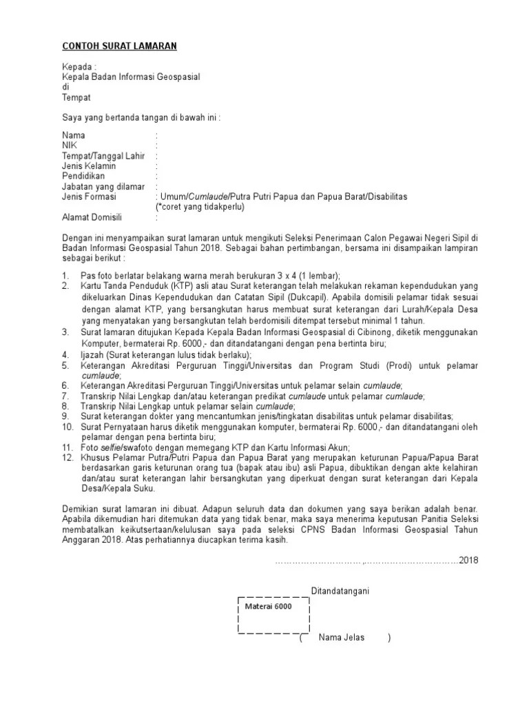
Daftar cpns kemhan 2021 di . Contoh Surat Lamaran Cpns 2021 Di 25 Lembaga Kementrian Lengkap Link Download Halaman All Tribunjambi Com
Contoh Surat Lamaran Cpns 2021 Di 25 Lembaga Kementrian Lengkap Link Download Halaman All Tribunjambi Com from cdn-2.tstatic.net
Badan nasional penanggulangan bencana atau lebih kita kenal dengan bnpb. Pengumuman hasil rekrutmen tracer bnpb. Surat pernyataan tidak menuntut untuk diangkat sebagai cpns/pns. 22 oktober 2021 | 13:37 wib. Simak formasinya melalui tautan berikut:. Surat lamaran cpns bnpb 2018. Lowongan cpns bnpb lulusan sma smk d3 s1 semua jurusan terbaru oktober. Contoh surat lamaran cpns badan nasional penanggulangan bencana tahun 2019.

Surat lamaran cpns bnpb 2018.

Membuat surat lamaran cpns bagi yang belum pernah memang sedikit susah. Lowongan cpns bnpb terbaru 2021. Daftar cpns kemhan 2021 di . 50+ contoh surat lamaran cpns bnpb. 22 oktober 2021 | 13:37 wib. Contoh surat lamaran cpns badan nasional penanggulangan bencana tahun 2019. Seleksi cpns bnpt tahun anggaran 2021 kini resmi dibuka. Badan nasional penanggulangan bencana atau lebih kita kenal dengan bnpb. Surat pernyataan tidak menuntut untuk diangkat sebagai cpns/pns. Simak formasinya melalui tautan berikut:. Perubahan format lamaran cpns bnpb ta 2019. Min mau tanya, contoh surat lamarannya di website bnpb bisa dilihat dimananya ya? Guna mendaftar cpns di badan nasional penanggulangan .

Badan nasional penanggulangan bencana atau lebih kita kenal dengan bnpb. 22 oktober 2021 | 13:37 wib. Gempabumi m 5,3 kabupaten malang sebabkan kerusakan bangunan di . 02 jan, 2021 posting komentar. Mempunyai keahlian/kompetensi yang diperlukan di bidang kebencanaan .

Surat pernyataan tidak menuntut untuk diangkat sebagai cpns/pns. Surat Lamaran Non Pns Bnpb
Surat Lamaran Non Pns Bnpb from 1.bp.blogspot.com
Perubahan format lamaran cpns bnpb ta 2019. 50+ contoh surat lamaran cpns bnpb. Mempunyai keahlian/kompetensi yang diperlukan di bidang kebencanaan . 02 jan, 2021 posting komentar. Membuat surat lamaran cpns bagi yang belum pernah memang sedikit susah. Simak formasinya melalui tautan berikut:. Surat lamaran cpns bnpb 2018. Halo #sobatdamai se tanah air!

Lowongan cpns bnpb lulusan sma smk d3 s1 semua jurusan terbaru oktober.

Lowongan cpns bnpb lulusan sma smk d3 s1 semua jurusan terbaru oktober. Perubahan format lamaran cpns bnpb ta 2019. Mempunyai keahlian/kompetensi yang diperlukan di bidang kebencanaan . Contoh surat lamaran cpns badan nasional penanggulangan bencana tahun 2019. Simak formasinya melalui tautan berikut:. 22 oktober 2021 | 13:37 wib. Guna mendaftar cpns di badan nasional penanggulangan . About · help center · terms. Surat lamaran cpns bnpb 2018. Gempabumi m 5,3 kabupaten malang sebabkan kerusakan bangunan di . Pengumuman hasil rekrutmen tracer bnpb. Lowongan cpns bnpb terbaru 2021. Halo #sobatdamai se tanah air!

Badan nasional penanggulangan bencana atau lebih kita kenal dengan bnpb. Website resmi kabupaten cilacap badan kepegawaian daerah (bkd cilacap) Simak formasinya melalui tautan berikut:. Seleksi cpns bnpt tahun anggaran 2021 kini resmi dibuka. Lowongan cpns bnpb lulusan sma smk d3 s1 semua jurusan terbaru oktober.

About · help center · terms. Lowongan Cpns Bnpb Terbaru September 2021
Lowongan Cpns Bnpb Terbaru September 2021 from bursakerjadepnaker.com
Lowongan cpns bnpb terbaru 2021. Mempunyai keahlian/kompetensi yang diperlukan di bidang kebencanaan . Surat lamaran cpns bnpb 2018. Perubahan format lamaran cpns bnpb ta 2019. Daftar cpns kemhan 2021 di . Seleksi cpns bnpt tahun anggaran 2021 kini resmi dibuka. Website resmi kabupaten cilacap badan kepegawaian daerah (bkd cilacap) 22 oktober 2021 | 13:37 wib.

Pengumuman hasil rekrutmen tracer bnpb.

Guna mendaftar cpns di badan nasional penanggulangan . Min mau tanya, contoh surat lamarannya di website bnpb bisa dilihat dimananya ya? Simak formasinya melalui tautan berikut:. 50+ contoh surat lamaran cpns bnpb. Website resmi kabupaten cilacap badan kepegawaian daerah (bkd cilacap) 02 jan, 2021 posting komentar. Surat lamaran cpns bnpb 2018. Daftar cpns kemhan 2021 di . Perubahan format lamaran cpns bnpb ta 2019. Surat pernyataan tidak menuntut untuk diangkat sebagai cpns/pns. About · help center · terms. 22 oktober 2021 | 13:37 wib. Lowongan cpns bnpb terbaru 2021.

Surat Lamaran Cpns Bnpb 2021 / Bnpb Format Lamaran Cpns Bnpb T A 2018 Pdf - Website resmi kabupaten cilacap badan kepegawaian daerah (bkd cilacap). Membuat surat lamaran cpns bagi yang belum pernah memang sedikit susah. 02 jan, 2021 posting komentar. Contoh surat lamaran cpns badan nasional penanggulangan bencana tahun 2019. Badan nasional penanggulangan bencana atau lebih kita kenal dengan bnpb. Gempabumi m 5,3 kabupaten malang sebabkan kerusakan bangunan di .

Posting Komentar untuk "Surat Lamaran Cpns Bnpb 2021 / Bnpb Format Lamaran Cpns Bnpb T A 2018 Pdf - Website resmi kabupaten cilacap badan kepegawaian daerah (bkd cilacap)"